種子淨度檢測的計算方法
來源: http://98fo.cn/ 類別:實用技術 更新時間:2012-06-07 閱讀次
【本資訊由中國糧油儀器網提供】
篩理後的試樣平鋪在種子淨度分析台上,淨種子的分離也可借助於各種輔助儀器,如放大鏡、風選淨度儀、鑷子、雙shuang倍bei目mu測ce鏡jing等deng進jin行xing逐zhu粒li觀guan察cha,取qu出chu試shi親qin友you中zhong所suo有you的de其qi他ta植zhi物wu種zhong或huo某mou些xie指zhi定ding種zhong的de種zhong子zi,並bing數shu出chu每mei個ge種zhong的de種zhong子zi數shu。當dang發fa現xian有you的de種zhong子zi不bu能neng準zhun確que確que定ding為wei某mou一yi種zhong時shi,可ke以yi以yi屬shu為wei單dan位wei。將jiang試shi樣yang分fen為wei淨jing種zhong子zi、其他植物種子和雜質。並將分離後的種類分別裝入相應的容器內 。由於其他植物種子和雜質一般比較輕、小,操作時不應把這些物質丟失,以免影響檢測分析結果。分離後,對各種成分都分別稱重 以克表示。
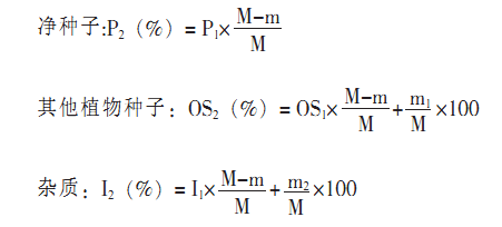
淨度檢測分析後的結果計算使用公式較多,主要為送驗樣品有重型混雜物時,最後淨度檢測分析結果應按如下公式計算:
式中:
M-送驗樣品的重量
m-重型混雜物的重量
m1-重型混雜物中的其他植物種子重量
m2-重型混雜物中的雜質重量
P1-除去重型混雜物後的淨種子重量百分率
I1-除去重型混雜物後的雜質重量百分率
OS1-除去重型混雜物後的其他植物種子重量百分率
【中國糧油儀器網】部bu分fen文wen章zhang轉zhuan載zai自zi其qi它ta媒mei體ti,轉zhuan載zai目mu的de在zai於yu傳chuan遞di更geng多duo信xin息xi,並bing不bu代dai表biao本ben網wang讚zan同tong其qi觀guan點dian和he對dui其qi真zhen實shi性xing負fu責ze,且qie不bu承cheng擔dan此ci類lei作zuo品pin侵qin權quan行xing為wei的de直zhi接jie責ze任ren及ji連lian帶dai責ze任ren。如ru其qi他ta媒mei體ti、網站或個人從本網下載使用,自負版權等法律責任。如涉及作品內容、版權和其它問題,請在30日內與本網聯係。
上一篇:麵粉粗細度與麵筋含量的關係
下一篇:測定糧食粘度的必要性

最近更新儀器
推薦儀器
相關新聞
熱門產品


