溫照度記錄儀和氣象站兩種方式記錄環境溫濕度的優劣勢比較
現在記錄溫濕度的儀器很多,溫濕度記錄儀和氣象站等,這些溫濕度記錄儀器對環境中的溫濕度記錄,有哪些優劣勢呢?下麵我們一起比較一下:
準確、可靠的天氣和氣候信息對許多領域都非常重要,在產品自然環境試驗工作中,更是不可缺少的重要影響數據之一。20世紀90年代末,我國開始在台站布設地麵自動氣象觀測係統。自2000年以來,全國氣象部門在大氣監測自動化係統都投入資金建設了大量的自動氣象站。2005年4月(yue),國(guo)家(jia)材(cai)料(liao)環(huan)境(jing)腐(fu)蝕(shi)站(zhan)網(wang)在(zai)海(hai)南(nan)站(zhan)召(zhao)開(kai)工(gong)作(zuo)會(hui)議(yi),對(dui)與(yu)會(hui)人(ren)員(yuan)進(jin)行(xing)了(le)自(zi)動(dong)氣(qi)象(xiang)監(jian)測(ce)儀(yi)器(qi)方(fang)麵(mian)的(de)現(xian)場(chang)培(pei)訓(xun),號(hao)召(zhao)全(quan)國(guo)各(ge)個(ge)自(zi)然(ran)環(huan)境(jing)試(shi)驗(yan)站(zhan)逐(zhu)步(bu)安(an)裝(zhuang)自(zi)動(dong)氣(qi)象(xiang)站(zhan),海(hai)南(nan)萬(wan)寧(ning)試(shi)驗(yan)站(zhan)是(shi)首(shou)批(pi)安(an)裝(zhuang)和(he)試(shi)運(yun)行(xing)自(zi)動(dong)氣(qi)象(xiang)站(zhan)的(de)試(shi)驗(yan)站(zhan)之(zhi)一(yi)。對(dui)氣(qi)溫(wen)、相對濕度觀測而言,觀測係統性能的變化(主要是傳感器),導致氣象要素觀測值的係統偏差將是不可避免的,檢測地麵自動觀測與人工觀測的氣溫、相xiang對dui濕shi度du的de差cha異yi,並bing分fen析xi產chan生sheng這zhe些xie差cha異yi的de原yuan因yin,以yi便bian與yu以yi前qian的de人ren工gong氣qi象xiang數shu據ju進jin行xing更geng好hao地di連lian接jie,改gai進jin我wo國guo地di麵mian自zi動dong氣qi象xiang觀guan測ce係xi統tong,減jian少shao觀guan測ce值zhi的de係xi統tong誤wu差cha等deng都dou是shi非fei常chang有you意yi義yi的de。
1 實驗方法
萬寧試驗站東麵臨海,內暴露場距海300多米。使用溫照度記錄儀和氣象站和同時對溫濕度進行監測。
1.1 人工溫濕度的監測
溫照度記錄儀嚴格按照中央氣象局地麵標準規範安裝。溫濕度計是安置在離地麵1.5 m的百葉箱中,百葉箱分為大小兩種,大百葉箱安置溫濕度計,小百葉箱內安置幹濕球、最高和最低溫度表,每天按照操作規程進行觀測、訂正及更換記錄紙。
1.2 自動氣象站溫濕度監測
shiyongzhejiangtuopuyiqishengchangdejianceqixiangzhanjinxingwenshidujiance。gaiqixiangzhanshiyongbodianzuwenduchuanganqilaiceliangwendu,shiyonggaofenzibomoshimindianrongchuanganqiceliangkongqidexiangduishidu。
2 溫濕度監測結果
使用溫濕度自記儀和氣象站兩種方法同時在萬寧試驗站內暴露場進行溫濕度監測,某年12月1個月監測結果見表1。

3 結果分析與討論
3.1 自動站與人工溫濕度監測的差異
3.1.1 時間差異
根據《地麵氣象觀測規範》的要求,正點人工觀測在45~60 min觀測空氣溫度、相對濕度、降水、風和氣壓等;由於人工觀測是靠觀測員逐項進行的,時間跨度較大。在一般情況下,人工觀測距正點的時間大約是:溫度和濕度相差5 min,風向、風速相差3min;氣壓相差2 min;地溫至少相差10 min。在上述相差時段內,氣象要素值會有不同程度的變化。夏季在氣溫上升時,觀測時間相差5 min,可造成較大的差值。自動氣象站觀測是在正點按氣溫、濕度、降水、風向、風速、氣壓、地溫、輻射、日照、蒸發的順序幾乎是在瞬間完成的。由此可見,由於兩種觀測體製在觀測時間上不同步,因此觀測結果會出現差異。
3.1.2 樣本差異
人工觀測是點讀數,就是說觀測員在觀測時隻讀一次儀器的示值。當然,由於溫濕度監測儀的儀器存在慣性,它起到了抹平高頻成分的作用,但畢竟隻是1次讀數。在記錄紙上是對1天中的2時、8時、14時、20時4次的值進行平均,而得出當日的平均值。然而自動氣象站的每一個觀測值都是多個樣本值的平均值。其中溫度、濕度等,都是10 s取1個樣本值,去掉一個最大值和一個最小值,剩下的4個樣本值的平均值作為觀測值。在多數情況下,去掉了一個最大值和一個最小值就等於將奇異值剔除了。人工的最高、最(zui)低(di)溫(wen)度(du)值(zhi)是(shi)根(gen)據(ju)最(zui)高(gao)最(zui)低(di)溫(wen)度(du)表(biao)讀(du)出(chu)並(bing)訂(ding)正(zheng),再(zai)與(yu)溫(wen)濕(shi)度(du)計(ji)紙(zhi)上(shang)進(jin)行(xing)對(dui)比(bi)而(er)得(de)。而(er)有(you)時(shi)天(tian)氣(qi)突(tu)變(bian)時(shi),溫(wen)濕(shi)度(du)記(ji)錄(lu)紙(zhi)反(fan)應(ying)比(bi)較(jiao)滯(zhi)後(hou),比(bi)較(jiao)得(de)出(chu)的(de)數(shu)值(zhi)誤(wu)差(cha)較(jiao)大(da)。而(er)自(zi)動(dong)站(zhan)的(de)最(zui)高(gao)、最低溫度是對每天中每分鍾測定的值共1440geshujubijiaodechude,paoqiyiqibenshenwucha,yinggaishuozhefangmianbirengongdezuigaozuidiwendubiaogengjuyoulingminxinghejingquexing。yangbenshumubutong,celiangjieguohuiyouchayi。
3.2 自動站與記錄儀的人工溫濕度監測數據統計分析
由表1中數據生成兩組數列:人工監測日平均溫度x和自動站監測日平均溫度y。

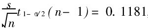
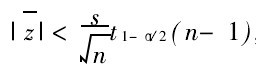
根據這兩組數據可以研究不同的監測方法(人工監測和自動站監測)是否有顯著差異,這個問題可歸結為判斷z=x-y是否服從正態分布N(0,σ2),此處σ2為未知,即可歸結為在一定顯著水平下,檢驗假設:
z的樣本量n=31,平均值|z|=0.1065,標準偏差s=0.3221,顯著水平α為0.05時,查表知t0.975(30)=2.0423,計算


,故接受假設,即在顯著水平α為0.05時可認為兩種監測方法無明顯差異。使用同樣的統計學分析方法,可得到人工監測日平均濕度和自動站監測日平均濕度2種監測方法在顯著水平α為0.05時也無明顯差異。
4 結語
1)準確、可靠的天氣和氣候信息數據是開展自然環境試驗研究不可缺少的重要數據,同時也是裝備研製、使用和維護重要參考數據。隨著科技的發展,氣象觀測向著智能化、自動化方向發展成為必然,但同時傳統的人工監測手段也是必不可少的備用方法。
2)文中監測的1個月溫濕度數據,在顯著水平α為0.05時,自動站監測和人工監測兩種方法監測結果無明顯差異。



